|
One-Factor ANOVA (Between Subjects)
Author(s)
David M. Lane
Prerequisites
Variance, Significance
Testing, One- and Two-Tailed
Tests, Introduction to Normal
Distributions, t
Test of Differences Between Groups, Introduction
to ANOVA, ANOVA
Designs
Learning Objectives
- State what the Mean Square Error (MSE) estimates when the null hypothesis
is true and when the null hypothesis is false
- State what the Mean Square Between (MSB) estimates when the null hypothesis
is true and when the null hypothesis is false
- State the assumptions of a one-way ANOVA
- Compute MSE
- Compute MSB
- Compute F and its two degrees of freedom parameters
- Describe the shape of the F distribution
- Explain why ANOVA is best thought of as a two-tailed test even though
literally only one tail of the distribution is used
- State the relationship between the t and F distributions
- Partition the sums of squares into condition and error
- Format data to be used with a computer statistics program
This section shows how ANOVA can be used to analyze
a one-factor between-subjects design. We will use as our main
example the "Smiles
and Leniency" case study. In this study there were four conditions
with 34 subjects in each condition. There was one score per
subject. The null hypothesis tested by ANOVA is that the population
means for all conditions are the same. This can be expressed as
follows:
H0: μ1 = μ2 =
... = μk
where H0 is the null
hypothesis and k is the number of conditions. In the "Smiles and
Leniency" study, k = 4 and the null hypothesis is
H0: μfalse = μfelt =
μmiserable = μneutral.
If the null hypothesis is rejected, then it can
be concluded that at least one of the population means is different
from at least one other population mean.
Analysis of variance is a method
for testing differences among means by analyzing variance. The
test is based on two estimates of the population variance (σ2).
One estimate is called the mean square error (MSE) and is based
on differences among scores within the groups. MSE estimates σ2 regardless
of whether the null hypothesis is true (the population means
are equal). The second estimate is called the mean square
between (MSB) and is based on differences among the sample means.
MSB only estimates σ2 if
the population means are equal. If the population means are
not equal, then MSB estimates a quantity larger than σ2.
Therefore, if the MSB is much larger than the MSE, then the
population means are unlikely to be equal. On the other hand,
if the MSB is about the same as MSE, then the data are consistent
with the null hypothesis that the population means are equal.
Before proceeding with the calculation of MSE and
MSB, it is important to consider the assumptions made by ANOVA:
- The populations have the same variance. This assumption
is called the assumption of homogeneity of
variance.
- The populations are normally
distributed.
- Each value is sampled independently from
each other value. This assumption requires that each subject
provide only one value. If a subject provides two scores,
then the values are not independent. The analysis of data with
two scores per subject is shown in the section on within-subjects
ANOVA later
in this chapter.
These assumptions are the same as for a t
test of differences between groups except that they apply
to two or more groups, not just to two groups.
The means and variances of the four groups in the "Smiles
and Leniency" case study are shown in Table 1. Note that there are 34 subjects
in each of the four conditions (False, Felt, Miserable, and Neutral).
Table 1. Means and Variances from the "Smiles and Leniency" Study.
|
Condition
|
Mean
|
Variance
|
|
False
|
5.3676
|
3.3380
|
|
Felt
|
4.9118
|
2.8253
|
|
Miserable
|
4.9118
|
2.1132
|
|
Neutral
|
4.1176
|
2.3191
|
Sample Sizes
The first calculations in this section all
assume that there is an equal number of observations in each group.
Unequal sample size calculations are shown here. We will refer to
the number of observations in each group as n and
the total number of observations as N.
For these data there are four groups of 34 observations. Therefore,
n = 34 and N = 136.
Computing MSE
Recall that the assumption of homogeneity of variance
states that the variance within each of the populations (σ2)
is the same.
This variance, σ2,
is the quantity estimated by MSE and is computed as the mean
of the sample variances. For these data, the MSE
is equal to 2.6489.
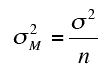
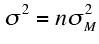
Computing MSB
The formula for MSB is based on the fact that
the variance of the sampling
distribution of the mean is

where n is the sample size of each group. Rearranging this formula,
we have

Therefore, if we knew the variance of the sampling
distribution of the mean, we could compute σ2 by
multiplying it by n. Although we do not know the variance of the
sampling distribution of the mean, we can estimate it with the
variance of the sample means. For the leniency data, the variance
of the four sample means is 0.270. To estimate σ2,
we multiply the variance of the sample means (0.270) by n (the
number of observations in each group, which is 34). We find
that MSB = 9.179.
To sum up these steps:
- Compute the means.
- Compute the variance of the means.
- Multiply the variance of the means by n.
Recap
If the population means are equal, then both
MSE and MSB are estimates of σ2 and
should therefore be about the same. Naturally, they will not
be exactly the same since they are just estimates and are based
on different aspects of the data: The MSB is computed from the
sample means and the MSE is computed from the sample variances.
If the population means are not equal, then MSE
will still estimate σ2 because
differences in population means do not affect variances. However,
differences in population means affect MSB since differences
among population means are associated with differences among
sample means. It follows that the larger the differences among
sample means, the larger the MSB. In
short, MSE estimates σ2
whether or not the population means are equal, whereas MSB
estimates σ2 only
when
the population means are equal and estimates a larger quantity
when they are not equal.
Comparing MSE and MSB
The critical step in an ANOVA is comparing MSE
and MSB. Since MSB estimates a larger quantity than MSE only
when the population means are not equal, a finding of a larger
MSB than an MSE is a sign that the population means are not
equal. But since MSB could be larger than MSE by chance even
if the population means are equal, MSB must be much larger than
MSE in order to justify the conclusion that the population means
differ. But how much larger must MSB be? For the "Smiles and
Leniency" data, the MSB and MSE are 9.179 and 2.649, respectively.
Is that difference big enough? To answer, we would need to know
the probability of getting that big a difference or a bigger
difference if the population means were
all equal. The mathematics necessary to
answer this question were worked out by the statistician R.
Fisher. Although Fisher's original formulation took a slightly
different form, the standard method for determining the probability
is based on the ratio of MSB to MSE. This ratio is named after
Fisher and is called the F ratio.
For these
data, the F ratio is
F = 9.179/2.649 = 3.465.
Therefore, the MSB is 3.465 times higher than
MSE. Would this have been likely to happen if all the population
means were equal? That depends on the sample size. With a small sample size, it would not be too surprising because results from small samples are unstable. However, with a very large sample, the MSB and
MSE are almost always about the same, and an F ratio of 3.465
or larger would be very unusual. Figure 1 shows the sampling
distribution of F
for the sample size in the "Smiles and Leniency" study. As you
can see, it has a positive skew.
From Figure 1, you can see that F ratios of 3.465
or above are unusual occurrences. The area to the right of 3.465
represents the probability of an F that large or larger and
is equal to 0.018. In other words, given the null hypothesis
that all the population means are equal, the probability
value is
0.018 and therefore the null hypothesis can be rejected.
The conclusion that at least one of the population
means is different from at least one of the others is justified.
The shape of the F distribution
depends on the sample size. More precisely, it depends on two
degrees
of freedom (df) parameters: one for the numerator (MSB)
and one for the denominator (MSE). Recall that the degrees
of freedom for an estimate of variance is equal to the number
of observations minus one. Since the MSB is the variance of k means, it has k - 1 df. The MSE is an average of k variances, each with n - 1 df. Therefore, the df for MSE is k(n - 1) = N - k, where N is the total number of observations, n is the number of observations in each group, and k is the number of groups. To summarize:
dfnumerator = k-1
dfdenominator = N-k
For the "Smiles and Leniency" data,
dfnumerator = k-1 =
4-1 = 3
dfdenominator = N-k = 136-4 = 132
F = 3.465
The F distribution calculator shows that p
= 0.018.
F Calculator
One-Tailed or Two?
Is the probability value from an F ratio a one-tailed or a two-tailed probability? In the literal sense, it is a one-tailed
probability since, as you can see in Figure 1, the probability
is the area in the right-hand tail of the distribution.
However, the F ratio is sensitive to any pattern of differences
among means. It is, therefore, a test of a two-tailed hypothesis
and is best considered a two-tailed test.
Relationship to the t test
Since an ANOVA and an independent-groups
t test can both test the difference between two means, you
might be wondering which one to use. Fortunately, it does
not matter since the results will always be the same. When
there are only two groups, the following relationship between
F and t will always hold:
F(1,dfd) = t2(df)
where dfd is the degrees of freedom for
the denominator of the F test and df is the degrees of freedom
for the t test. dfd will always equal df.
Sources of Variation
Why do scores in an experiment differ from
one another? Consider the scores of two subjects in the "Smiles
and Leniency" study: one from the "False Smile" condition
and one from the "Felt Smile" condition. An obvious possible
reason that the scores could differ is that the subjects were
treated differently (they were in different conditions and
saw different stimuli). A second reason is that the two subjects
may have differed with regard to their tendency to judge people
leniently. A third is that, perhaps, one of the subjects was
in a bad mood after receiving a low grade on a test. You can
imagine that there are innumerable other reasons why the scores
of the two subjects could differ. All of these reasons except the first (subjects were treated differently) are possibilities that were not under experimental investigation and, therefore, all of the differences (variation) due to these possibilities are unexplained. It is traditional to call unexplained variance error even though there is no implication that an error was made. Therefore, the variation in this experiment can be thought of as being either variation due to the condition the subject was in or due to error (the sum total of all reasons the subjects' scores could differ that were not measured).
One of the important characteristics of ANOVA
is that it partitions the variation into its various sources.
In ANOVA, the term sum of squares (SSQ) is
used to indicate variation. The total variation is defined
as the sum of squared differences between each score and the mean of all subjects.
The mean of all subjects is called the grand
mean and is designated
as GM. (When there is an equal number of subjects in each
condition, the grand mean is the mean of the condition means.)
The total sum of squares is defined as
which means to take each score, subtract
the grand mean from it, square the difference, and then sum
up these squared values. For the "Smiles and Leniency" study,
SSQtotal = 377.19.
The sum of squares condition is calculated
as shown below.

where n is the number of scores in each group,
k is the number of groups, M1 is
the mean for Condition 1, M2 is the
mean for Condition 2, and Mk is the
mean for Condition k. For the Smiles and Leniency study, the
values are:
SSQcondition =
34[(5.37-4.83)2 +
(4.91-4.83)2 + (4.91-4.83)2 + (4.12-4.83)2]
= 27.5
If there are unequal
sample sizes, the only change is that the following formula
is used for the sum of squares condition:

where ni is the sample
size of the ith condition. SSQtotal is computed the same way
as shown above.
The sum of squares error is the sum of the squared
deviations of each score from its group mean. This can be
written as
where Xi1 is the
ith score in group 1 and M1 is the
mean for group 1, Xi2 is the ith
score in group 2 and M2 is the mean
for group 2, etc. For the "Smiles and Leniency" study, the
means are: 5.368, 4.912, 4.912, and 4.118. The SSQerror is
therefore:
(2.5-5.368)2 + (5.5-5.368)2 +
... + (6.5-4.118)2 = 349.65
The sum of squares error can also be computed
by subtraction:
SSQerror = SSQtotal -
SSQcondition
SSQerror = 377.189
- 27.535 = 349.65
Therefore, the total sum of squares of 377.19
can be partitioned into SSQcondition (27.53)
and SSQerror (349.66).
Once the sums of squares have been computed,
the mean squares (MSB and MSE) can be computed easily. The
formulas are:
MSB = SSQcondition/dfn
where dfn is the degrees of freedom numerator
and is equal to k - 1 = 3.
MSB = 27.535/3 = 9.18
which is the same value of MSB obtained
previously (except for rounding error). Similarly,
MSE = SSQerror/dfd
where dfd is the degrees of freedom for
the denominator and is equal to N - k.
dfd = 136 - 4 = 132
MSE = 349.66/132 = 2.65
which is the same as obtained previously
(except for rounding error). Note that the dfd is often called
the dfe for degrees of freedom error.
The Analysis of Variance Summary Table shown
below is a convenient way to summarize the partitioning of
the variance. The rounding errors have been corrected.
Table 2. ANOVA Summary Table.
|
Source
|
df
|
SSQ
|
MS
|
F
|
p
|
|
Condition
|
3
|
27.5349
|
9.1783
|
3.465
|
0.0182
|
|
Error
|
132
|
349.6544
|
2.6489
|
|
|
|
Total
|
135
|
377.1893
|
|
|
|
The first column shows the sources of variation, the second
column shows the degrees of freedom, the third shows the
sums of squares, the fourth shows the mean squares, the fifth shows the F ratio, and the last
shows the probability value. Note that the mean squares
are always the sums of squares divided by degrees of freedom.
The F and p are relevant only to Condition. Although the
mean square total could be computed by dividing the sum
of squares by the degrees of freedom, it is generally not
of much interest and is omitted here.
Formatting Data for Computer Analysis
Most computer programs that compute ANOVAs
require your data to be in a specific form. Consider the data
in Table 3.
Table 3. Example Data.
|
Group 1
|
Group 2
|
Group 3
|
|
3
|
2
|
8
|
|
4
|
4
|
5
|
|
5
|
6
|
5
|
Here there are three groups, each with three observations. To format these data
for a computer program, you normally have to use two variables: the first specifies
the group the subject is in and the second is the score itself. The reformatted version of the data in Table 3 is shown in Table 4.
Table 4. Reformatted Data.
|
G
|
Y
|
|
1
|
3
|
|
1
|
4
|
|
1
|
5
|
|
2
|
2
|
|
2
|
4
|
|
2
|
6
|
|
3
|
8
|
|
3
|
5
|
|
3
|
5
|
Make sure to put the data files in the default directory.
Data file
leniency = read.csv(file = "leniency.CSV")
leniency.f <- factor(leniency$smile, levels = c("1", "2", "3", "4"))
leniency_model <- lm(leniency~ leniency.f, data = leniency)
summary(aov(leniency_model))
Df Sum Sq Mean Sq F value Pr(>F)
leniency.f 3 27.5 9.178 3.465 0.0182
Residuals 132 349.7 2.649
Please answer the questions:
|