|
Partitioning the Sums of Squares
Author(s)
David M. Lane
Prerequisites
Introduction to Linear
Regression
Learning Objectives
- Compute the sum of squares Y
- Convert raw scores to deviation scores
- Compute predicted scores from a regression equation
- Partition sum of squares Y into sum of squares predicted and sum of
squares error
- Define r2 in terms of sum of squares explained and sum of squares Y
One useful aspect of regression is that it can
divide the variation in Y into two parts: the variation of the
predicted scores and the variation of the errors of prediction.
The variation of Y is called the
sum of squares Y and is defined as the sum of the squared deviations
of Y from the mean of Y. In the population, the formula is
where SSY is the sum of squares Y, Y is an individual
value of Y, and μy is
the mean of Y. A simple example is given in Table 1. The mean
of Y is 2.06 and SSY is the sum of the values in the third column
and is equal to 4.597.
Table 1. Example of SSY.
|
Y
|
Y-My
|
(Y-My)2
|
|
1.00
|
-1.06
|
1.1236
|
|
2.00
|
-0.06
|
0.0036
|
|
1.30
|
-0.76
|
0.5776
|
|
3.75
|
1.69
|
2.8561
|
|
2.25
|
0.19
|
0.0361
|
When computed in a sample, you should use the
sample mean, M, in place of the population mean:

It is sometimes convenient to use formulas that
use deviation
scores rather than raw
scores. Deviation scores are simply deviations from the mean.
By convention, small letters rather than capitals are used for
deviation scores. Therefore the score y indicates the difference
between Y and the mean of Y. Table 2 shows the use of this notation.
The numbers are the same as in Table 1.
Table 2. Example of SSY using Deviation Scores.
|
Y
|
y
|
y2
|
|
1.00
|
-1.06
|
1.1236
|
|
2.00
|
-0.06
|
0.0036
|
|
1.30
|
-0.76
|
0.5776
|
|
3.75
|
1.69
|
2.8561
|
|
2.25
|
0.19
|
0.0361
|
The data in Table 3 are reproduced from the introductory
section. The column X has the values of the predictor
variable and the column Y has the criterion
variable. The third column, y, contains the differences
between the column Y and the mean of Y.
Table 3. Example data. The last row contains column sums.
|
X
|
Y
|
y
|
y2
|
Y'
|
y'
|
y'2
|
Y-Y'
|
(Y-Y')2
|
|
1.00
|
1.00
|
-1.06
|
1.1236
|
1.210
|
-0.850
|
0.7225
|
-0.210
|
0.044
|
|
2.00
|
2.00
|
-0.06
|
0.0036
|
1.635
|
-0.425
|
0.1806
|
0.365
|
0.133
|
|
3.00
|
1.30
|
-0.76
|
0.5776
|
2.060
|
0.000
|
0.0000
|
-0.760
|
0.578
|
|
4.00
|
3.75
|
1.69
|
2.8561
|
2.485
|
0.425
|
0.1806
|
1.265
|
1.600
|
|
5.00
|
2.25
|
0.19
|
0.0361
|
2.910
|
0.850
|
0.7225
|
-0.660
|
0.436
|
| Sums |
|
15.00
|
10.30
|
0.00
|
4.597
|
10.300
|
0.000
|
1.806
|
0.000
|
2.791
|
The fourth column, y2, is simply the square
of the y column. The column Y' contains the predicted values of
Y. In the introductory section, it was shown that the equation for
the regression line for these data is
Y' = 0.425X + 0.785.
The values of Y' were computed according to this
equation. The column y' contains deviations of Y' from the mean
of Y' and y'2 is the square of this column.
The next-to-last column, Y-Y', contains the actual scores (Y) minus
the predicted scores (Y'). The last column contains the squares
of these errors of prediction.
We are now in a position to see how the SSY is partitioned.
Recall that SSY is the sum of the squared deviations from the
mean. It is therefore the sum of the y2 column
and is equal to 4.597. SSY can be partitioned into two parts:
the sum of squares predicted (SSY') and the sum of squares error
(SSE). The sum of squares predicted is the sum of the squared
deviations of the predicted scores from the mean predicted score.
In other words, it is the sum of the y'2 column
and is equal to 1.806. The sum of squares error is the sum of
the squared errors of prediction. It is therefore the sum of
the (Y-Y')2 column and is equal to 2.791.
This can be summed up as:
SSY = SSY' + SSE
4.597 = 1.806 + 2.791
There are several other notable features about
Table 3. First, notice that the sum of y and the sum of y' are
both zero. This will always be the case because these variables
were created by subtracting their respective means from each value.
Also, notice that the mean of Y-Y' is 0. This indicates that although
some Y values are higher than their respective predicted Y values and some are lower,
the average difference is zero.
The SSY is the total variation, the SSY' is the variation
explained, and the SSE is the variation unexplained. Therefore,
the proportion of variation explained can be computed as:
Proportion explained = SSY'/SSY
Similarly, the proportion not explained is:
Proportion not explained
= SSE/SSY
There is an important relationship between the
proportion of variation explained and Pearson's correlation:
r2 is the proportion of variation explained.
Therefore, if r = 1, then, naturally, the proportion of variation
explained is 1; if r = 0, then the proportion explained is 0.
One last example: for r = 0.4, the proportion of variation explained
is 0.16.
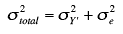
Since the variance is computed by dividing the
variation by N (for a population) or N-1 (for a sample), the relationships
spelled out above in terms of variation also hold for variance.
For example,

where the first term is the variance total, the
second term is the variance of Y', and the last term is the variance
of the errors of prediction (Y-Y'). Similarly, r2 is
the proportion of variance explained as well as the proportion
of variation explained.
Summary Table
It is often convenient to summarize the partitioning of the data in a table. The degrees
of freedom column (df) shows the degrees of freedom for each source of variation. The degrees of freedom for the sum of squares explained is equal to the number of predictor variables. This will always be 1 in simple regression. The error degrees of freedom is equal to the total number of observations minus 2. In this example, it is 5 - 2 = 3. The total degrees of freedom is the total number of observations minus 1.
Table 4. Summary Table for Example Data.
|
Source
|
Sum of Squares
|
df
|
Mean Square
|
|
Explained
|
1.806
|
1
|
1.806
|
|
Error
|
2.791
|
3
|
0.930
|
|
Total
|
4.597
|
4
|
|
Please answer the questions:
|