Variance Sum Law II

Prerequisites
Variance Sum Law I

Learning Objectives

  1. State the variance sum law when X and Y are not assumed to be independent
  2. Compute the variance of the sum of two variables if the variance of each and their correlation is known
  3. Compute the variance of the difference between two variables if the variance of each and their correlation is known

Recall that when the variables X and Y are independent, the variance of the sum or difference between X and Y can be written as follows:

which is read "The variance of X plus or minus Y is equal the variance of X plus the variance of Y.

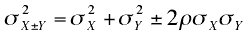
When X and Y are correlated, the following formula should be used:

where ρ is the correlation between X and Y in the population. For example, if the variance of verbal SAT were 10,000, the variance of quantitative SAT were 11,000 and the correlation between these two tests were 0.50, then the variance of total SAT (verbal + quantitative) would be:

which is equal to 31,488. The variance of the difference is:

which is equal to 10,512.

If the variances and the correlation are computed in a sample, then the following notation is used to express the variance sum law:

.