|
|
Variance Sum Law II
Author(s)
David M. Lane
Prerequisites
Variance
Sum Law I
Values of Pearson's Correlation
Learning Objectives
- State the variance sum law when X and Y are not assumed to be independent
- Compute the variance of the sum of two variables if the variance of
each and their correlation is known
- Compute the variance of the difference between two variables if the
variance of each and their correlation is known
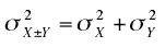
Recall that when the variables X and Y are independent,
the variance of the sum or difference between X and Y can be written
as follows:

which is read: "The variance of X plus or
minus Y is equal to the variance of X plus the variance of Y."
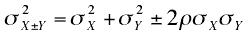
When X and Y are correlated, the following formula
should be used:

where ρ is the correlation
between X and Y in the population. For example, if the variance
of verbal SAT were 10,000, the variance of quantitative SAT were
11,000 and the correlation between these two tests were 0.50,
then the variance of total SAT (verbal + quantitative) would
be:

which is equal to 31,488. The variance of the
difference is:

which is equal to 10,512.
If the variances and the correlation are computed
in a sample, then the following notation is used to express the
variance sum law:
.
Please answer the questions:
|
|