Kurtosis


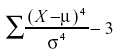
Kurtosis measures how fat or thin the tails of a distribution are relative to a normal distribution. It is commonly defined as:

 

 

Distributions with long tails are called leptokurtic; distributions with short tails are called platykurtic. Normal distributions have zero kurtosis.