|
Inferential Statistics for b and r
Author(s)
David M. Lane
Prerequisites
Sampling
Distribution of r, Confidence Interval for r
Learning Objectives
- State the assumptions that inferential statistics in regression are
based upon
- Identify heteroscedasticity in a scatter plot
- Compute the standard error of a slope
- Test a slope for significance
- Construct a confidence interval on a slope
- Test a correlation for significance
This section shows how to conduct significance
tests and compute confidence intervals for the regression slope
and Pearson's correlation. As you will see, if the regression
slope is significantly different from zero, then the correlation
coefficient is also significantly different from zero.
Assumptions
Although no assumptions were needed to determine
the best-fitting straight line, assumptions are made in the calculation
of inferential statistics. Naturally, these assumptions refer
to the population, not the sample.
- Linearity: The relationship between the two variables is linear.
- Homoscedasticity: The variance around the regression line
is the same for all values of X.
A clear violation of this assumption is shown in Figure 1. Notice that the predictions
for students with high high-school GPAs are very good, whereas
the predictions for students with low high-school GPAs are not
very good. In other words, the points for students with high
high-school GPAs are close to the regression line, whereas the
points for low high-school GPA students are not.
- The errors of prediction are distributed normally. This means
that the deviations from the regression line
are normally distributed. It does not mean that X or Y is normally
distributed.
Significance Test for the Slope (b)
Recall the general formula for a t test:
As applied here, the statistic is the sample value
of the slope (b) and the hypothesized value is 0. The number of degrees
of freedom for this test is:
df = N-2
where N is the number of pairs of scores.
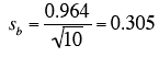
The
estimated standard error of b is computed using the following
formula:

where sb is the estimated
standard error of b, sest is the standard
error of the estimate, and SSX is the sum of squared deviations of
X from the mean of X. SSX is calculated as
where
Mx is the mean of X. As shown previously, the standard error of
the estimate can be calculated as
These formulas are illustrated with the data shown
in Table 1. These data are reproduced
from the introductory section. The column
X has the values of the predictor variable and
the column Y has the values of the criterion variable.
The third column, x, contains the differences between the
values of column X and the mean of X. The fourth
column, x2, is the square of
the x column. The fifth column, y, contains
the differences between the values of column Y and the mean of Y. The last
column, y2, is simply square of the
y column.
Table 1. Example data.
|
|
X
|
Y
|
x
|
x2
|
y
|
y2
|
|
|
1.00
|
1.00
|
-2.00
|
4
|
-1.06
|
1.1236
|
|
|
2.00
|
2.00
|
-1.00
|
1
|
-0.06
|
0.0036
|
|
|
3.00
|
1.30
|
0.00
|
0
|
-0.76
|
0.5776
|
|
|
4.00
|
3.75
|
1.00
|
1
|
1.69
|
2.8561
|
|
|
5.00
|
2.25
|
2.00
|
4
|
0.19
|
0.0361
|
|
Sum
|
15.00
|
10.30
|
0.00
|
10.00
|
0.00
|
4.5970
|
The computation of the standard
error of the estimate (sest) for these
data is shown in the section on the standard error of the estimate. It
is equal to 0.964.
sest = 0.964
SSX is the sum of squared deviations from the mean
of X. It is, therefore, equal to the sum of the x2 column and is
equal to 10.
SSX = 10.00
We now have all the information to compute the
standard error of b:

As shown previously, the slope (b) is 0.425. Therefore,

df = N-2 = 5-2 = 3.
The p value for a two-tailed t test is 0.26. Therefore,
the slope is not significantly different from 0.
Confidence Interval for the
Slope
The method for computing a confidence interval
for the population slope is very similar to methods for computing
other confidence intervals. For the 95% confidence interval, the
formula is:
lower limit: b - (t.95)(sb)
upper limit:
b + (t.95)(sb)
where t.95 is the value of t to use for the
95% confidence interval.
The values of t to be used in a confidence interval
can be looked up in a table of the t distribution. A small version
of such a table is shown in Table 2. The first column, df, stands
for degrees of freedom.
Table 2. Abbreviated t table.
|
df
|
0.95
|
0.99
|
|
2
|
4.303
|
9.925
|
|
3
|
3.182
|
5.841
|
|
4
|
2.776
|
4.604
|
|
5
|
2.571
|
4.032
|
|
8
|
2.306
|
3.355
|
|
10
|
2.228
|
3.169
|
|
20
|
2.086
|
2.845
|
|
50
|
2.009
|
2.678
|
|
100
|
1.984
|
2.626
|
You can also use the "inverse
t distribution" calculator to find the t values to
use in a confidence interval.
Applying these formulas to the example data,
lower limit: 0.425 - (3.182)(0.305) =
-0.55
upper limit: 0.425 + (3.182)(0.305) =
1.40
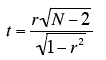
Significance Test for the Correlation
The formula for a significance test of Pearson's
correlation is shown below:
where N is the number of pairs of scores. For
the example data,

Notice that this is the same t value obtained
in the t test of b. As in that test, the degrees of freedom is
N - 2 = 5 -2 = 3.
Please answer the questions:
|