|
Measures of Variability
Author(s)
David M. Lane
Prerequisites
Percentiles,
Distributions, Measures
of Central Tendency
Learning Objectives
- Determine the relative variability of two distributions
- Compute the range
- Compute the inter-quartile range
- Compute the variance in the population
- Estimate the variance from a sample
- Compute the standard deviation from the variance
What is Variability?
Variability refers to how "spread out"
a group of scores is. To see what we mean by spread out, consider
graphs in Figure 1. These graphs represent the scores on two quizzes.
The mean score for each quiz is 7.0. Despite the equality of means,
you can see that the distributions are quite different. Specifically,
the scores on Quiz 1 are more densely packed and those on Quiz
2 are more spread out. The differences among students were much
greater on Quiz 2 than on Quiz 1.
The terms variability, spread, and dispersion are
synonyms, and refer to how spread out a distribution is. Just
as in the section on central tendency where we discussed measures
of the center of a distribution of scores, in this chapter we
will discuss measures of the variability of a distribution.
There are four frequently used measures of variability: the
range, interquartile range, variance, and standard deviation.
In the next few paragraphs, we will look at each of these four
measures of variability in more detail.
Range
The range is the simplest measure of variability
to calculate, and one you have probably encountered many times
in your life. The range is simply the highest score minus the
lowest score. Lets take a few examples. What is the range
of the following group of numbers: 10, 2, 5, 6, 7, 3, 4? Well,
the highest number is 10, and the lowest number is 2, so 10
- 2 = 8. The range is 8. Lets take another example. Heres
a dataset with 10 numbers: 99, 45, 23, 67, 45, 91, 82, 78,
62, 51. What is the range? The highest number is 99 and the
lowest number is 23, so 99 - 23 equals 76; the range is 76.
Now consider the two quizzes shown in Figure 1. On Quiz 1,
the lowest score is 5 and the highest score is 9. Therefore,
the range is 4. The range on Quiz 2 was larger: the lowest
score was 4 and the highest score was 10. Therefore the range
is 6.
Interquartile Range
The interquartile
range (IQR) is the range of the middle 50% of the scores in
a distribution. It is computed as follows:
IQR = 75th percentile - 25th percentile
For Quiz 1, the 75th percentile is 8 and the
25th percentile is 6. The interquartile range is therefore 2.
For Quiz 2, which has greater spread, the 75th percentile is
9, the 25th percentile is 5, and the interquartile range is
4. Recall that in the discussion of box
plots, the 75th percentile
was called the upper hinge and the 25th percentile was called
the lower hinge. Using this terminology, the interquartile range
is referred to as the H-spread.
A related measure of variability is called the semi-interquartile
range. The semi-interquartile range is defined simply as the
interquartile range divided by 2. If a distribution is symmetric,
the median plus or minus the semi-interquartile range contains
half the scores in the distribution.
Variance
Variability can also be defined in terms of how
close the scores in the distribution are to the middle of the
distribution. Using the mean as the measure of the middle of the
distribution, the variance is defined as the average squared difference
of the scores from the mean. The data from Quiz 1 are shown in
Table 1. The mean score is 7.0. Therefore, the column "Deviation
from Mean" contains the score minus 7. The column "Squared
Deviation" is simply the previous column squared.
Table 1. Calculation of Variance for Quiz 1 scores.
| Scores |
Deviation from Mean |
Squared Deviation |
| 9 |
2 |
4 |
| 9 |
2 |
4 |
| 9 |
2 |
4 |
| 8 |
1 |
1 |
| 8 |
1 |
1 |
| 8 |
1 |
1 |
| 8 |
1 |
1 |
| 7 |
0 |
0 |
| 7 |
0 |
0 |
| 7 |
0 |
0 |
| 7 |
0 |
0 |
| 7 |
0 |
0 |
| 6 |
-1 |
1 |
| 6 |
-1 |
1 |
| 6 |
-1 |
1 |
| 6 |
-1 |
1 |
| 6 |
-1 |
1 |
| 6 |
-1 |
1 |
| 5 |
-2 |
4 |
| 5 |
-2 |
4 |
| Means |
| 7 |
0 |
1.5 |
One thing that is important
to notice is that the mean deviation from the mean is 0.
This will always be the case. The mean of the squared deviations
is 1.5. Therefore, the variance is 1.5. Analogous calculations
with Quiz 2 show that its variance is 6.7. The formula for the
variance is:
where σ2
is the variance, μ is the mean, and
N is the number of numbers. For Quiz 1, μ
= 7 and N = 20.
If the variance in a sample is used to estimate
the variance in a population, then the previous formula underestimates
the variance and the following formula should be used:
where s2 is the estimate
of the variance and M is the sample mean. Note that M is the mean
of a sample taken from a population with a mean of μ.
Since, in practice, the variance is usually computed in a sample,
this formula is most often used. The simulation "estimating
variance" illustrates the bias in the formula with N
in the denominator.
Let's take a concrete example. Assume the scores
1, 2, 4, and 5 were sampled from a larger population. To estimate
the variance in the population you would compute s2
as follows:
M = (1 + 2 + 4 + 5)/4 = 12/4 = 3.
s2 = [(1-3)2
+ (2-3)2 + (4-3)2
+ (5-3)2]/(4-1)
= (4 + 1 + 1 + 4)/3 =
10/3 = 3.333
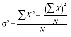
There are alternate formulas that can be easier
to use if you are doing your calculations with a hand calculator. You should note that these formulas are subject to rounding error if your values are very large and/or you have an extremely large number of observations.

and

For this example,
Standard Deviation
The standard
deviation is simply the square root of the variance. This
makes the standard deviations of the two quiz distributions
1.225 and 2.588. The standard deviation is an especially
useful measure of variability when the distribution is normal
or approximately normal (see
Chapter on Normal Distributions) because the proportion of the distribution
within a given number of standard deviations from the mean
can be calculated. For example, 68% of the distribution is
within one standard deviation of the mean and approximately
95% of the distribution is within two standard deviations
of the mean. Therefore, if you had a normal distribution
with a mean of 50 and a standard deviation of 10, then 68%
of the distribution would be between 50 - 10 = 40 and 50
+10 =60. Similarly, about 95% of the distribution would be
between 50 - 2 x 10 = 30 and 50 + 2 x 10 = 70. The symbol
for the population standard deviation is σ;
the symbol for an estimate computed in a sample is s. Figure
2 shows two normal distributions. The red distribution has a mean of 40 and a standard deviation
of 5; the blue distribution has a mean of 60 and a standard deviation of 10.
For the red distribution, 68% of the distribution is between
35 and 45; for the blue distribution, 68% is between 50 and
70.
Please answer the questions:
|