|
Binomial Distribution
Author(s)
David M. Lane
Prerequisites
Distributions,
Basic Probability, Variability
Learning Objectives
- Define binomial outcomes
- Compute the probability of getting X successes in N trials
- Compute cumulative binomial probabilities
- Find the mean and standard deviation of a binomial distribution
When you flip a coin, there are two possible outcomes:
heads and tails. Each outcome has a fixed probability, the same
from trial to trial. In the case of coins, heads and tails each
have the same probability of 1/2. More generally, there are situations
in which the coin is biased, so that heads and tails have different
probabilities. In the present section, we consider probability
distributions for which there are just two possible outcomes with
fixed probabilities summing to one. These distributions are called binomial
distributions.
A Simple Example
The four possible outcomes that could occur if you
flipped a coin twice are listed below in Table 1. Note that the
four outcomes are equally likely: each has probability 1/4. To
see this, note that the tosses of the coin are independent (neither
affects the other). Hence, the probability of a head on Flip 1
and a head on Flip 2 is the product of P(H) and P(H), which is
1/2 x 1/2 = 1/4. The same calculation applies to the probability
of a head on Flip 1 and a tail on Flip 2. Each is 1/2 x 1/2
= 1/4.
Table 1. Four Possible Outcomes.
|
Outcome
|
First Flip
|
Second Flip
|
|
1
|
Heads
|
Heads
|
|
2
|
Heads
|
Tails
|
|
3
|
Tails
|
Heads
|
|
4
|
Tails
|
Tails
|
The four possible outcomes can be classified
in terms of the number of heads that come up. The number could
be two (Outcome 1), one (Outcomes 2 and 3) or 0 (Outcome 4).
The probabilities of these possibilities are shown in Table
2 and in Figure 1. Since two of the outcomes represent the case
in which just one head appears in the two tosses, the probability
of this event is equal to 1/4 + 1/4 = 1/2. Table 2 summarizes
the situation.
Table 2. Probabilities of Getting 0, 1, or 2 Heads.
|
Number of Heads
|
Probability
|
|
0
|
1/4
|
|
1
|
1/2
|
|
2
|
1/4
|
Figure 1 is a discrete probability distribution:
It shows the probability for each of the values on the X-axis.
Defining a head as a "success," Figure 1 shows the probability
of 0, 1, and 2 successes for two trials (flips) for an event that
has a probability of 0.5 of being a success on each trial. This
makes Figure 1 an example of a binomial distribution.
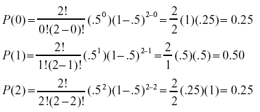
The Formula for Binomial Probabilities
The binomial distribution consists of the probabilities
of each of the possible numbers of successes on N trials for
independent events that each have a probability of π
(the Greek letter pi) of occurring. For the coin flip example,
N = 2 and π = 0.5. The formula for
the binomial distribution is shown below:

where P(x) is the probability of x successes out
of N trials, N is the number of trials, and π
is the probability of success on a given trial. Applying this
to the coin flip example,

If you flip a coin twice, what is the probability
of getting one or more heads? Since the probability of getting
exactly one head is 0.50 and the probability of getting exactly
two heads is 0.25, the probability of getting one or more heads
is 0.50 + 0.25 = 0.75.
Now suppose that the coin is biased. The probability
of heads is only 0.4. What is the probability of getting heads
at least once in two tosses? Substituting into the general formula
above, you should obtain the answer .64.
Cumulative Probabilities
We toss a coin 12 times. What is the probability
that we get from 0 to 3 heads? The answer is found by computing
the probability of exactly 0 heads, exactly 1 head, exactly 2
heads, and exactly 3 heads. The probability of getting from 0
to 3 heads is then the sum of these probabilities. The probabilities
are: 0.0002, 0.0029, 0.0161, and 0.0537. The sum of the probabilities
is 0.073. The calculation of cumulative binomial probabilities
can be quite tedious. Therefore we have provided a binomial calculator
to make it easy to calculate these probabilities.
Binomial
Calculator
Mean and Standard Deviation of Binomial Distributions
Consider a coin-tossing experiment in which you
tossed a coin 12 times and recorded the number of heads. If you
performed this experiment over and over again, what would the
mean number of heads be? On average, you would expect half the
coin tosses to come up heads. Therefore the mean number of heads
would be 6. In general, the mean of a binomial distribution with
parameters N (the number of trials) and π
(the probability of success on each trial) is:
μ = Nπ
where μ is the mean
of the binomial distribution. The variance of the binomial distribution
is:
σ2
= Nπ(1-π)
where σ2
is the variance of the binomial distribution.
Let's return to the coin-tossing experiment. The
coin was tossed 12 times, so N = 12. A coin has a probability of
0.5 of coming up heads. Therefore, π
= 0.5. The mean and variance can therefore be computed
as follows:
μ = Nπ = (12)(0.5) = 6
σ2 = Nπ(1-π) =
(12)(0.5)(1.0 - 0.5) = 3.0.
Naturally, the standard deviation (σ)
is the square root of the variance (σ2).

Please answer the questions:
|