|
History of the Normal Distribution
Author(s)
David M. Lane
Prerequisites
Distributions,
Central Tendency, Variability,
Binomial Distribution
In the chapter on probability, we saw that the
binomial distribution could be used to solve problems such as
"If a fair coin is flipped 100 times, what is the probability
of getting 60 or more heads?" The probability of exactly x heads
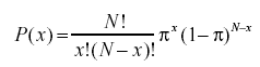
out of N flips is computed using the formula:

where x is the number of heads (60), N is the number of flips
(100), and π is the probability
of a head (0.5). Therefore, to solve this problem, you compute
the probability of 60 heads, then the probability of 61 heads,
62 heads, etc., and add up all these probabilities. Imagine
how long it must have taken to compute binomial probabilities
before the advent of calculators and computers.
Abraham de Moivre, an 18th century statistician
and consultant to gamblers, was often called upon to make these
lengthy computations. de Moivre noted that when the number of
events (coin flips) increased, the shape of the binomial distribution
approached a very smooth curve. Binomial distributions for 2,
4, and 12 flips are shown in Figure 1.
de Moivre reasoned that if he could find a mathematical
expression for this curve, he would be able to solve problems
such as finding the probability of 60 or more heads out of 100
coin flips much more easily. This is exactly what he did, and
the curve he discovered is now called the "normal curve."
The importance of the normal curve stems primarily
from the fact that the distributions of many natural phenomena
are at least approximately normally distributed. One of the first
applications of the normal distribution was to the analysis of
errors of measurement made in astronomical observations, errors
that occurred because of imperfect instruments and imperfect observers.
Galileo in the 17th century noted that these errors were symmetric
and that small errors occurred more frequently than large errors.
This led to several hypothesized distributions of errors, but
it was not until the early 19th century that it was discovered
that these errors followed a normal distribution. Independently,
the mathematicians Adrain in 1808 and Gauss in 1809 developed
the formula for the normal distribution and showed that errors
were fit well by this distribution.
This same distribution had been discovered by Laplace
in 1778 when he derived the extremely important central
limit theorem, the topic of a later
section of this chapter. Laplace showed that even if a distribution
is not normally distributed, the means of repeated samples from
the distribution would be very nearly normally distributed, and that the larger
the sample size, the closer the distribution of means would be to a normal
distribution.
Most statistical procedures for testing differences
between means assume normal distributions. Because the distribution
of means is very close to normal, these tests work well even
if the original distribution is only roughly normal.
Quételet
was the first to apply the normal distribution to human characteristics.
He noted that characteristics such as height, weight, and strength
were normally distributed.
Please answer the questions:
|